njit math syllabus

UP POLYTECHNIC IMPORTANT MATH SYLLABUS CHAPTER - YouTube. 10 Pictures about UP POLYTECHNIC IMPORTANT MATH SYLLABUS CHAPTER - YouTube : UP POLYTECHNIC IMPORTANT MATH SYLLABUS CHAPTER - YouTube, T.N.Samacheer 10th std maths | Exercise:8.4 Sum - 6 | Chapter - 8 and also The Mathematics Syllabus that has been adopted worldwide.

UP POLYTECHNIC IMPORTANT MATH SYLLABUS CHAPTER - YouTube

UP POLYTECHNIC IMPORTANT MATH SYLLABUS CHAPTER - YouTube www.youtube.com

MIT Math Syllabus 10-3 Lesson 7: Quadratic Equations

MIT Math Syllabus 10-3 Lesson 7: Quadratic equations www.slideshare.net

quadratic syllabus

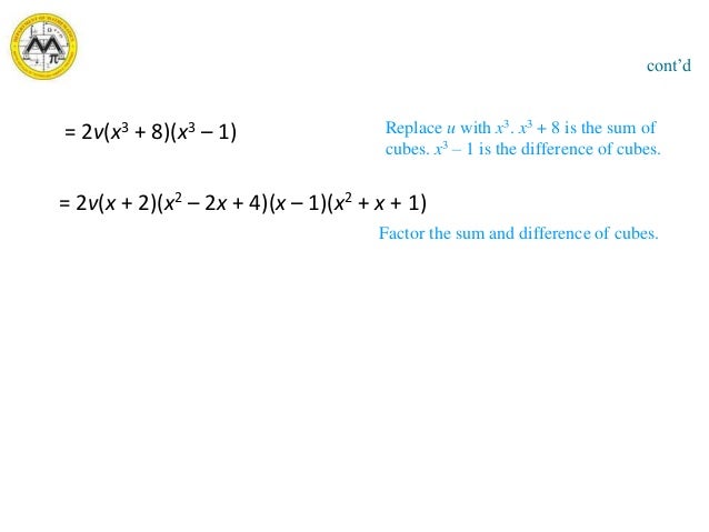
Algebra Syllabus

Algebra Syllabus www.slideshare.net

algebra syllabus course slideshare college

MIT Math Syllabus 10-3 Lesson 2 : Polynomials

MIT Math Syllabus 10-3 Lesson 2 : Polynomials www.slideshare.net

polynomials syllabus lesson

MIT Math Syllabus 10-3 Lesson 7: Quadratic Equations

MIT Math Syllabus 10-3 Lesson 7: Quadratic equations www.slideshare.net

quadratic syllabus

T.N.Samacheer 10th Std Maths | Exercise:8.4 Sum - 6 | Chapter - 8

T.N.Samacheer 10th std maths | Exercise:8.4 Sum - 6 | Chapter - 8 www.youtube.com

CSEC Mathematics Syllabus 2018 Pages 48 SBA - YouTube

CSEC Mathematics Syllabus 2018 Pages 48 SBA - YouTube www.youtube.com

sba mathematics csec syllabus

MIT Math Syllabus 10-3 Lesson 7: Quadratic Equations

MIT Math Syllabus 10-3 Lesson 7: Quadratic equations www.slideshare.net

quadratic syllabus

The Mathematics Syllabus That Has Been Adopted Worldwide

The Mathematics Syllabus that has been adopted worldwide www.slideshare.net

syllabus mathematics adopted been worldwide slideshare

Math 630-102, Spring 2007, Victor Matveev, DMS, NJIT

Math 630-102, Spring 2007, Victor Matveev, DMS, NJIT web.njit.edu

matveev njit exam math solution

Math 630-102, spring 2007, victor matveev, dms, njit. T.n.samacheer 10th std maths. Csec mathematics syllabus 2018 pages 48 sba